中国·太阳集团tyc33455(股份有限公司)-Official website
太阳成集团tyc33455
首页
公司概况
太阳成集团tyc33455简介
公司领导
组织机构
团队队伍
员工风采
荣誉展示
新闻公告
学科专业
太阳成集团tyc33455介绍
专业介绍
本科教学
培养方案
教学大纲
专业建设/课程建设
教学成果
创新创业教育
公司产品
硕士点简介
导师队伍
人才招聘
培养动态
创新竞赛
科学研究
科研平台
科研动态
学术交流
员工工作
组织机构
“计”忆犹新
信息公开
党群工作
组织机构
党建书苑
党建动态
工会工作
下载中心
教师下载中心
太阳成集团tyc33455是什么
公司产品
硕士点简介
导师队伍
人才招聘
培养动态
创新竞赛
当前位置:
首页
当前位置:
首页
当前位置:
首页
正文
人才招聘
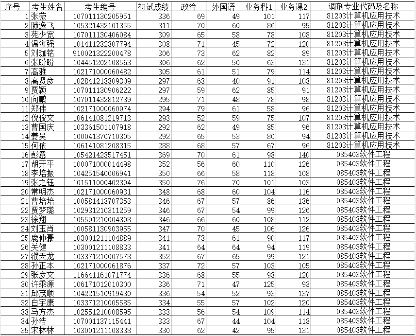
3月28日-29日(12:00时-24:00时)调剂进入复试考生名单
2021年03月29日 17:41 点击:[]
上一条:
2021年计算机应用技术、软件工程专业硕士研究生拟录取名单
下一条:
2020年计算机应用技术第2次调剂复试名单